山東羅欣藥業集團股份有限公司招標公告

【規 格】按C18H18N8O7S3計算 (1)0.25g (2)0.5g (3)1.0g (4)2.0g (5)2.5g (6)3.0g
【包 裝】西林瓶裝,1瓶/盒、10瓶/盒。
【單 位】瓶
【批準文號】
(1)0.25g 國藥準字H20043213
(2)0.5g 國藥準字H20043215
(3)1.0g 國藥準字H20043214
(4)2.0g 國藥準字H20043216
(5)2.5g 國藥準字H20044511
(6)3.0g 國藥準字H20044512
警示語 本品不能加入哈特曼氏以及林格氏等含有鈣的溶液中使用。 本品與含鈣劑或含鈣產品合并用藥有可能導致致死性結局的不良事件。 |
【藥品名稱】
通 用 名:注射用頭孢曲松鈉
英 文 名:Ceftriaxone Sodium for Injection
漢語拼音:Zhusheyong Toubaoqusongna
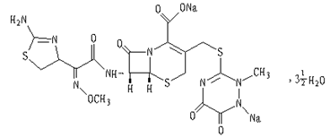
化學名稱:(6R,7R)-7-[[(2-氨基-4-噻唑基)(甲氧亞氨基)乙酰]氨基]-8-氧代-3-[[(1,2,5,6-四氫-2-甲基-5,6-二氧代-1,2,4-三嗪-3-基)硫代]甲基]-5-硫代-1-氮雜雙環[4.2.0]辛-2-烯-2-羧酸二鈉鹽三倍半水合物。
其結構式為:

分子式:C18H16N8Na2O7S3?3
H2O
分子量:661.59
【性 狀】本品為白色或類白色結晶性粉末;無臭。
【適 應 癥】適用于對本品敏感的致病菌引起呼吸道感染(尤其是肺炎)、耳鼻喉感染(如急性中耳炎)、泌尿系統感染、敗血癥、腦膜炎(如播散性萊姆病早、晚期)、骨和關節感染、皮膚軟組織感染、腹腔感染(腹膜炎、膽道及胃腸道感染)、生殖系統感染包括淋病,也可用于術前預防感染。
【規 格】按C18H18N8O7S3計算 (1)0.25g (2)0.5g (3)1.0g (4)2.0g (5)2.5g (6)3.0g
【不良反應】本品耐受性較好,不良反應較少見,約5-7%,表現為輕度過敏反應,如皮疹、瘙癢、蕁麻疹、水腫、多型紅斑、發熱、支氣管痙攣;消化道反應,如惡心、嘔吐、腹痛、腹脹、軟便、腹瀉、舌炎、胃炎、結腸炎、味覺異常、黃疸等;神經系統反應:如頭痛、眩暈。偶見嗜酸性粒細胞增多、白細胞減少、血小板減少、溶血性貧血等血液學改變及一過性血清轉氨酶升高、堿性磷酸酶升高、膽紅素升高和血尿素氮肌酐增加等不良反應。這類反應多可自行逆轉,或停藥后消失。長期使用本品會使不敏感菌過度生長,可致二重感染如念珠菌病、陰道炎。罕見偽膜性腸炎及凝血障礙。
局部副作用:局部應用可出現注射部位疼痛,硬結,極少的情況下,靜脈用藥后發生靜脈炎,可通過減慢靜脈注射速度(2-4分鐘)以減少這些現象的發生。肌肉注射時,如不加用利多卡因會導致疼痛。
【禁 忌】本品禁用于對頭孢菌素過敏的病人。
【注意事項】 1.使用本品前應詳細詢問患者過敏史,對于任何過敏體質患者均應慎用本品。對青霉素過敏者可能會對本品產生交叉過敏反應,應慎用。 2.與其它頭孢菌素一樣,盡管已獲得病人的全部病史,但也不排除過敏性休克的可能性。一旦出現過敏性休克,應立即給予腎上腺素或其他緊急措施。 3.包括頭孢曲松在內的幾乎所有的抗菌素都曾有發生偽膜性腸炎的報道,所以對使用抗菌素的腹瀉病人考慮到這一診斷是非常重要的。明確診斷后,輕癥病例停藥即可,中到重度病例則應采取補充液體、電解質和蛋白質等措施,并給予有效的抗菌藥。有胃腸道疾病史者慎用。 4.維生素K缺乏者使用本品可能會導致凝血酶原時間延長,應當監測凝血酶原時間,必要時適當補充維生素K。 5.有報道使用本品時會出現膽囊超聲圖異常,這是由于頭孢曲松鈣鹽沉積所致陰影,可能會誤診為膽囊結石。此陰影會隨著本品治療的結束或終止用藥而消失。極少的情況下以上檢查所見會伴有癥狀,有些病例甚至出現膽囊疾病。因此,一旦出現上述癥狀,應停用本品,建議進行保守的非手術治療。 6.研究表明,如同其它頭孢類抗生素一樣,頭孢曲松也會從血漿白蛋白中置換出膽紅素。長期使用本品時,應定時測定血象。 7.對駕駛車輛及操作機器能力的影響:研究資料未表明對駕駛車輛及操作機器能力有不利影響。 8.診斷性試驗的影響:進行本品治療時,庫姆斯氏試驗極少會呈假陽性表現。如同其它抗菌素一樣,本品也可能使血半乳糖試驗出現假陽性結果。因此在使用本品期間,應以酶法測定尿糖。 9.不相溶性:本品不能加入哈特曼氏以及林格氏等含有鈣的溶液中使用。據文獻報道,本品與氨苯碟啶、萬古霉素、氟康唑以及氨基糖苷類抗菌素具有不相溶性。不能混合使用。本品配伍禁忌較多,因此應單獨給藥。 10.穩定性:本品屬β-內酰胺酶類抗生素,應臨用前配制。 |
【孕婦及哺乳期婦女用藥】使用20倍人用劑量進行小鼠及大鼠生殖毒性試驗未出現胚胎毒性和致畸作用。尚未在懷孕婦女中進行過充分良好對照的臨床試驗。因為動物試驗結果不能完全反應人體毒性,妊娠及哺乳期婦女應在確實必要時才用。
【兒童用藥】頭孢曲松可將膽紅素從血清白蛋白上置換下來,患有高膽紅素血癥的新生兒(尤其是早產兒)可能發展成核黃疸,應慎用或避免使用本品。
【老年用藥】除非老年患者虛弱、營養不良或有重度腎功能損害時,一般按成人推薦劑量給藥,無須變更。
【藥物相互作用】
1.目前為止尚未發現大劑量本品和利尿劑(如呋喃苯氨酸)同時使用所導致的腎功能不全。尚未發現本品增加氨基糖苷類抗菌素的腎臟毒性作用。
2.尚未發現酒后使用本品者發生類戒酒樣副作用,仍應避免同時飲酒和服用含酒精的飲料。
3.頭孢曲松不含有與某些頭孢類抗菌素的出血癥狀有關的N-甲硫四唑成分。
4.本品的清除不受丙磺舒的影響。
5.體外試驗發現氯霉素與頭孢曲松合用會產生拮抗作用。頭孢菌素類藥靜脈輸注液中加入紅霉素、四環素、兩性霉素B、血管活性藥(間羥胺、去甲腎上腺素等)苯妥英鈉、氯丙嗪、異丙醇、維生素B族、維生素C可出現混濁。由于本品的配伍禁忌較多,故應單獨給藥。
【藥物過量】一旦發生藥物過量,血液透析或腹膜透析方法不會降低血藥濃度。亦無特殊解毒劑。應給予對癥治療。
【藥理毒理】藥理作用 頭孢曲松為長效、廣譜頭孢菌素,通過抑制細胞壁的合成產生抗菌作用,對革蘭氏陽性菌和陰性菌均具有較強的殺菌作用。對β-內酰胺酶(包括青霉素酶和頭孢菌素酶)有高度穩定性。體外和臨床實驗顯示頭孢曲松鈉對下列革蘭氏陰性桿菌具有高度抗菌活性:大腸桿菌、克雷伯桿菌、奇異變形桿菌、吲哚陽性變形桿菌、沙門氏菌、志賀氏菌等腸桿菌科細菌以及流感嗜血桿菌;對腦膜炎球菌、淋球菌等革蘭氏陰性球菌亦具有良好的抗菌作用;革蘭氏陽性球菌如肺炎球菌、化膿性鏈球菌、草綠色鏈球菌、牛鏈球菌等均對本品呈現敏感;對金葡菌也具有一定抗菌作用,但抗菌作用較上述革蘭氏陽性球菌為差。綠膿桿菌、不動桿菌對本品的敏感性差。對某些厭氧菌如脆弱類擬桿菌屬、梭狀牙孢桿菌屬、消化球菌屬也有抗菌活性。 毒理研究 尚未進行頭孢曲松的致癌性研究。遺傳毒性試驗包括Ames試驗、體外人淋巴細胞培養染色體畸變試驗顯示本品無致突變性。大鼠靜脈給予頭孢曲松586mg/kg/d,一天一次(約為人用劑量的20倍)對生育力無影響。狗(100mg/kg/d,用4周)和狒狒(335mg/kg/d,用6個月)使用本品后在膽囊中發現有頭孢曲松砂粒樣鈣鹽沉積,這種現象在人發生率相對較低。
【藥代動力學】
分布 靜脈注射頭孢曲松能迅速滲透至組織和體液中,表觀分布容積為7-12升。一次給予頭孢曲松1-2克在肺臟、心臟、膽道、肝臟、扁桃體、中耳及鼻粘膜、骨骼、腦脊液、腦膜液、前列腺液及滑膜液等60多種組織和體液中均可達有效濃度,并維持對敏感細菌的殺菌作用達24小時。頭孢曲松能透過新生兒、嬰兒及兒童感染的腦膜。新生兒與嬰兒每公斤體重分別靜脈注射頭孢曲松50-100ml,4小時后腦脊液中頭孢曲松的濃度達峰值,平均18mg/L,24小時后腦脊液濃度大于1.4mg/L。細菌性腦膜炎時腦脊液平均彌散度占血濃度的17%,而無菌性腦膜炎時僅占4%。成人腦膜炎病人每公斤體重使用頭孢曲松50mg,于2-24小時內腦脊液中的濃度可高于最常見的腦膜炎致病菌最低抑菌濃度的數倍。頭孢曲松能透過胎盤,在乳汁中也有少量分泌。
蛋白結合性 頭孢曲松能可逆性地與白蛋白結合,其結合率隨藥物濃度的增高而降低。例如血藥濃度<25mg/L時蛋白結合率為95%,血藥濃度300mg/L時蛋白結合率降至85%,由于間質液中較少白蛋白,所以其中游離頭孢曲松比例相應高于血漿。消除頭孢曲松在體內不被分解代謝,僅被腸道內菌株轉變為無活性的代謝產物。血漿總清除率為10-22毫升/分,腎臟清除率為5-12毫升/分。50-60%的頭孢曲松以原形分泌于尿液中,40-50%以原形分泌于膽汁中,最終以無活性代謝物隨糞便排泄。成人的消除半衰期約為8小時。
特殊臨床情況時的藥代動力學 在新生兒,劑量的70%經尿液清除。8天以內的嬰兒及75歲以上的老年人平均清除半衰期通常為年輕人的2-3倍。肝或腎功能不全的病人,頭孢曲松的藥代動力學僅有很少的改變,其半衰期僅有輕度增加,如僅腎功能不全則膽道清除增加,若僅肝功能不全則腎臟清除率增加。血液透析不能顯著增加頭孢曲松的清除。
【貯 藏】遮光,密閉,在陰涼(不超過20℃)干燥處保存。
【包 裝】西林瓶裝,1瓶/盒、10瓶/盒。
【有 效 期】24個月。
【執行標準】《中國藥典》2015年版二部
【批準文號】(1)0.25g 國藥準字H20043213 (2)0.5g 國藥準字H20043215 (3)1.0g 國藥準字H20043214 (4)2.0g 國藥準字H20043216 (5)2.5g 國藥準字H20044511 (6)3.0g 國藥準字 H20044512
【生產企業】
企業名稱:山東羅欣藥業集團股份有限公司
生產地址:山東省臨沂高新技術產業開發區羅七路
郵政編碼:276017
電話號碼:0539-8257899 8481991
傳真號碼:0539-8481990
售后服務:0539-8242699
網 址:m.azkk.cn
適用于對本品敏感的致病菌引起呼吸道感染(尤其是肺炎)、耳鼻喉感染(如急性中耳炎)、泌尿系統感染、敗血癥、腦膜炎(如播散性萊姆病早、晚期)、骨和關節感染、皮膚軟組織感染、腹腔感染(腹膜炎、膽道及胃腸道感染)、生殖系統感染包括淋病,也可用于術前預防感染。
成年人及12歲以上兒童,體重50公斤以上兒童均使用成人劑量,通常劑量是1-2g,每日一次,危重病人或由中度敏感菌引起的感染,劑量可增至4g,每日一次。
新生兒、嬰兒及12歲以下兒童,建議以下劑量每日使用一次:新生兒(14天以下)每日劑量為按體重20-50mg/kg,不超過50mg/kg,無需區分早產兒及足月嬰兒。嬰兒及兒童(15天至12歲)每日劑量按體重20-80mg/kg。
用藥方法 肌肉注射:本品1.0g溶于1%鹽酸利多卡因3.5ml中用于肌肉注射,以注射于相對大些的肌肉為好,不主張在一處肌肉內注射1g以上劑量。利多卡因溶液絕對不能用于靜脈注射。靜脈注射:本品1.0g溶于l0ml滅菌注射用水中用于靜脈注射,注射時間不能少于2-4分鐘。靜脈滴注:本品2g溶于4ml0.9%氯化鈉溶液或5%葡萄糖注射液中,再用同一溶劑稀釋至100-250m1靜脈滴注。靜脈劑量按體重50毫克/公斤以上時,輸注時間至少要30分鐘以上。
由于可能會產生藥物間的不相溶性,故不能將本品與其它藥物混合使用,需聯合用藥時應分開使用。新配制的溶液應立即使用。
療程 療程取決于病程,通常4-14天,嚴重復雜感染可適當延長。與一般抗菌素治療方案一樣,在發熱消退或得到細菌被清除的證據之后,應繼續使用本品至少48-72小時。
特殊用藥指導 腦膜炎:嬰兒及兒童細菌性腦膜炎,開始治療劑量每公斤體重l00mg(不超過4g),每日一次,一旦確認了致病菌及藥敏試驗結果,則可酌情減量。急性中耳炎:兒童及成人按體重50mg/kg,最大劑量不超過1g。淋病:治療淋病(產青霉素酶和不產青霉素酶菌株)推薦用法為單劑量肌肉注射250mg。術前預防性用藥:預防污染或非污染手術之后感染,根據感染的危險程度,推薦在術前30-90分鐘單劑注射本品1-2g。對結腸直腸手術者以本品單獨使用或與5-硝基咪唑(如奧硝唑)聯合用藥(但分開使用)已被證實是有效的。肝腎功能不全:腎功能不全病人,如其肝功能無損傷則無須減少本品用量,對嚴重腎功能衰竭病人(肌酐清除率<10m1/min),每日本品用量不超過2g。肝功能受損病人,如腎功能完好亦無須減少劑量。嚴重的肝、腎功能障礙者,應定期檢查本品的血藥濃度。正在接受透析治療的病人,無須在透析后另加劑量,由于這類病人的藥物清除率可能會降低,故應進行血藥濃度監測,以決定是否需要調整劑量。